Involvierte Definitionen:- Datensatz
- Dendrogramm
- siehe auch Quantitatives Dendrogramm
Veranstaltung: EMLReferenz: @thimm2024 (Abschnitt 3.2.1)
⠀
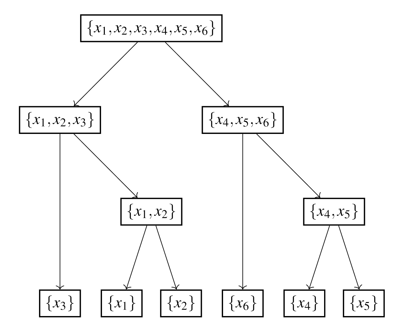
Definition: Qualitatives Dendrogramm
Sei
ein Datensatz.
Seiein Dendrogramm. Als qualitatives Dendrogramm bezeichnen wir eine Darstellung von
, bei der die Knoten durch die enthaltenen Mengen der wie folgt dargestellt werden:
